建設通信新聞

書籍案内
お申し込み ログイン
ヘッドライン
新着ニュース
  • 新着ニュース
    • 行政
    • 企業
    • 団体
    • 人事・訃報
    • インタビュー
    • その他
    • 北海道・東北
    • 関東・甲信越
    • 中部・北陸
    • 関西
    • 中国・四国・九州
    • 全国・海外
  • WEB刊
  • 動画 NEWS
購読お申し込み 書籍案内
  1. TOP
  2. 企業

企業

  • 特集・TOKYO-変貌し続ける都市/まちづくり・不動産開発(…
    掲載日 | 2026/02/17
    企業

    【電通都市の未来デザインユニットリーダー 水都創造パートナーズ代表理事/夏目守康氏/魅力あるベイエリ…

    「都市の未来デザインユニット」が提供する価値
  • 名工芸高生約40人/アス舗装など学ぶ/福田道路の出前授業
    掲載日 | 2026/02/17
    企業

     福田道路中部支店は、名古屋市の市立工芸高校で舗装出前授業を実施した=写真。同校の都市システム科1、…

  • 日綜産業のクイックデッキ、パネライト導入/安全性高め観光客に…
    掲載日 | 2026/02/17
    企業

     岡山市が進めている月見橋塗装補修工事(R7)に、日綜産業のシステムつり足場「クイックデッキ」と採光…

  • 請負額は2割増/国や市町村が下支え/西保証香川1月動向
    掲載日 | 2026/02/17
    企業

     西日本建設業保証香川支店は、保証取り扱いから見た2026年1月の四国地域公共工事動向をまとめた。件…

  • 請負額6%減の971億/西保証福岡1月動向
    掲載日 | 2026/02/17
    企業

     西日本建設業保証福岡支店は、1月の九州地区公共工事動向をまとめた。件数は前年同月比1.1%増の17…

  • 災害支援協定西宮市と締結/レンタルのニッケン
    掲載日 | 2026/02/17
    企業

     レンタルのニッケン(東京都港区、齊藤良幸社長)は、兵庫県西宮市(石井登志郎市長)と災害支援協定を結…

  • 108の技術結集しゼロカーボン実現/次世代技術研究所を本格運…
    掲載日 | 2026/02/17 企業

     大成建設と大成ロテックは、大成建設グループ次世代技術研究所「T-FIELD/SATTE」(埼玉県幸…

    各施設をつなぐ見学者回廊から見た管理研究棟
  • 道路舗装8社の第3四半期決算/利益改善傾向続き7社増益/採算…
    掲載日 | 2026/02/17 企業

     道路舗装8社の2026年3月期第3四半期決算は、NIPPO、日本道路、世紀東急工業、佐藤渡辺、三井…

    *単位100万円。カッコ内は前年同期比、△は損失または減少、上段は2026年3月期第3四半期業績、下段は26年3月期通期予想。前田道路の通期予想は連結掲載は売上高順*上場は東亜道路工業、世紀東急工業、佐藤渡辺、三井住建道路、非上場はNIPPO、日本道路、前田道路、ガイアート
  • 情報通信大手3社の第3四半期決算/全社が増収営業増益/売上高…
    掲載日 | 2026/02/17 企業

     情報通信設備工事大手3社の2026年3月期第3四半期決算(連結)が、13日に出そろった。NTT関係…

    *単位100万円。カッコ内は前年同期比、△は損失または減少、上段は2026年3月期第3四半期業績下段は26年3月期通期予想、掲載順は売上高順
  • 大手・準大手ゼネコンの2026年3月期第3四半期決算(単体)
    掲載日 | 2026/02/16
    企業

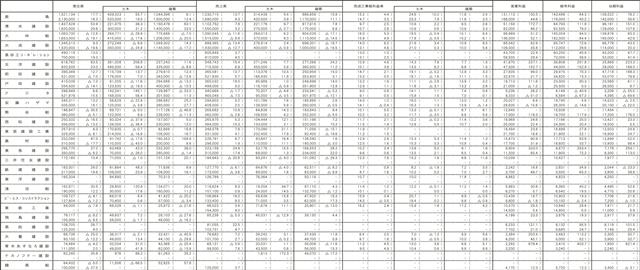
    大手・準大手ゼネコンの2026年3月期第3四半期決算(単体)単位は100万円。カッコ内は前期比(%、利益率はポイント)。上段は2026年3月期第3四半期の単体決算、下段は26年3月期通期予想。単体売上高順
前へ 1 … 9 10 11 12 13 14 15 16 17 … 133 次へ

記事フリーワード検索

建設専門紙がつくる
工事データベース
建設工事の動きのロゴ
紙面ビューワ

本日の紙面

2026/02/26
key

2/20 更新!

  • 新聞の画像
    建設通信新聞
    月刊建設工事の動き
    見本請求
  • DIGITAL会員登録
    購読のお申し込み
  • 連載記事
  • 広告のご案内
  • リリースはこちら

公式SNS

アクセスランキング

  • 新設計労務単価に団体トップがコメント

    掲載日|2026-02-19
  • 白金高輪駅前東地区/27年3月に都計決定/延べ6.8万㎡、駅…

    掲載日|2026-02-24
  • 堺市/25年度内に基本構想案/ミュージアムの事業費計上

    掲載日|2026-02-20
  • 新本社と工場建設/投資額約540億/サンエー

    掲載日|2026-02-20
  • ひろば・三井住友建設の柴田敏雄社長

    掲載日|2026-02-19
  • 会社概要
  • サイトマップ
  • サイトポリシー
  • 特定商取引法表記
  • 個人情報保護
  • 行動計画
  • お問い合わせ
Copyright ©2012-2026
The Kensetsutsushin Shimbun Corporation.